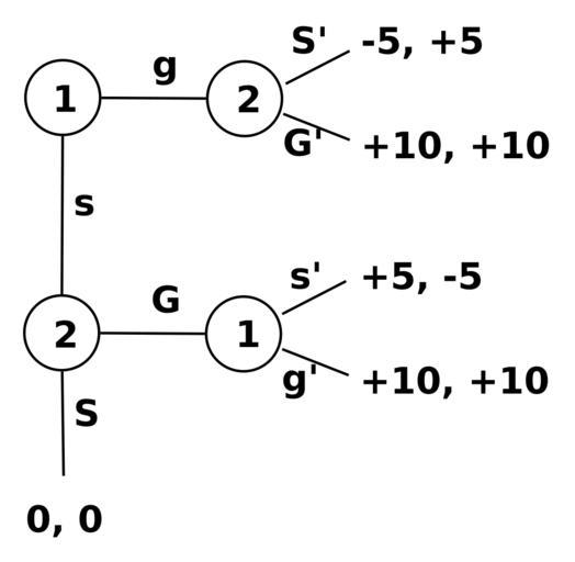
MAKE A MEME View Large Image Stay Firm or Give In.svg The extensive form representation of Stay Firm or Give In a two-player non-zero-sum game I made up and am interested in studying Two players take turns either staying firm s or giving in g If one player gives in the ...
View Original:Two-round Stay Firm or Give In.svg (220x215)
Download: Original    Medium    Small Thumb
Courtesy of:commons.wikimedia.org More Like This
Keywords: Two-round Stay Firm or Give In.svg The extensive form representation of Stay Firm or Give In a two-player non-zero-sum game I made up and am interested in studying Two players take turns either staying firm s or giving in g If one player gives in the other player gets one more turn; if the other player stays firm the payoff is +5 for the player who stood firm and -5 for the player who gave in but if both players give in the payoff is +10 for both players If neither player gives in the game ends after two turns with a payoff of 0 0 This version differs from the previous one in that it always ends after two turns of staying firm in the previous version this was a parameter N with the diagram depicting N 4 Limiting the game to two rounds should simplify analysis while preserving all the interesting properties of the game Own 2008-04-02 Benja Public Domain Image Extensive form of Stay Firm or Give In svg Game theory Tree diagrams
Terms of Use   Search of the Day