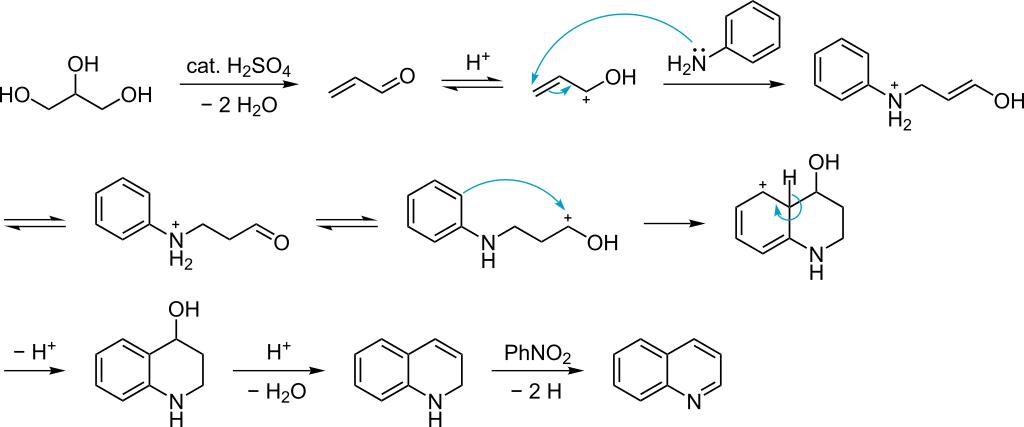
MAKE A MEME View Large Image Skraup quinoline synthesis mechanism.svg Reaction scheme of Skraup quinoline synthesis Own 2007-09-06 Calvero Skraup reaction
View Original:Skraup quinoline synthesis mechanism.svg (4775x1992)
Download: Original    Medium    Small Thumb
Courtesy of:commons.wikimedia.org More Like This
Keywords: Skraup quinoline synthesis mechanism.svg Reaction scheme of Skraup quinoline synthesis Own 2007-09-06 Calvero Skraup reaction
Terms of Use   Search of the Day