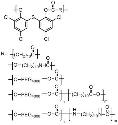
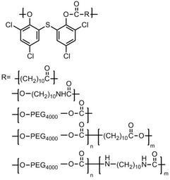
MAKE A MEME View Large Image Rui Fig 37.png Figure 3 Incorporation of Bithionol into the Polymer Backbone own Chem538w10grp9 Polymers
View Original:Rui Fig 37.png (972x1034)
Download: Original    Medium    Small Thumb
Courtesy of:commons.wikimedia.org More Like This
Keywords: Rui Fig 37.png Figure 3 Incorporation of Bithionol into the Polymer Backbone own Chem538w10grp9 Polymers
Terms of Use   Search of the Day