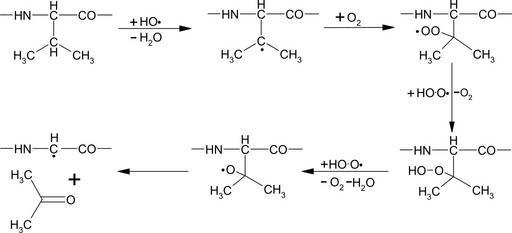
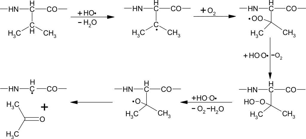
MAKE A MEME View Large Image Proteinoxidation 03.svg Proteinoxidation durch reaktive Sauerstoffspezies beta-Spaltung von Valin Protein oxidation by reactive oxygen spezies beta-scission of valine own derived from E R Stadtman und R L Levine Chemical modification of ...
View Original:Proteinoxidation 03.svg (366x166)
Download: Original    Medium    Small Thumb
Courtesy of:commons.wikimedia.org More Like This
Keywords: Proteinoxidation 03.svg Proteinoxidation durch reaktive Sauerstoffspezies beta-Spaltung von Valin Protein oxidation by reactive oxygen spezies beta-scission of valine own derived from E R Stadtman und R L Levine Chemical modification of proteins by reactive oxygen species In Redox Proteomics From Protein Modifications To Cellular Dysfunction And Diseases ' I Dalle-Donne A Scaloni und A Butterfield Editors Wiley Interscience Series on Mass Spectrometry 2006 ISBN 0-471-72345-2 p nsp;6 See also R Widmer http //opus kobv de/tuberlin/volltexte/2007/1504/ Wirkung von Hemmstoffen und Antioxidantien in Gliazellen bei Anoxie/Reoxygenierung und in der hepatischen Enzephalopathie Dissertation TU Berlin 2007 2010-01-17 Kuebi Armin Kübelbeck Protein degradation
Terms of Use   Search of the Day