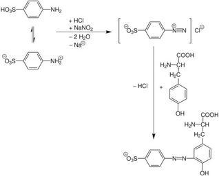
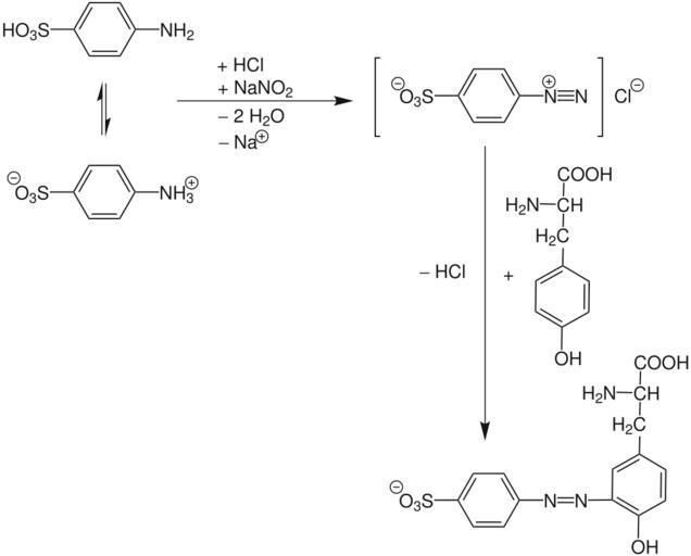
MAKE A MEME View Large Image Pauly Reaktionsgleichung.svg Pauly reaction Pauly Reaktion Own 2012-08-13 Flauski <span class signature-talk >talk</span> PD-chem Cc-zero Organic name reactions
View Original:Pauly Reaktionsgleichung.svg (892x718)
Download: Original    Medium    Small Thumb
Courtesy of:commons.wikimedia.org More Like This
Keywords: Pauly Reaktionsgleichung.svg Pauly reaction Pauly Reaktion Own 2012-08-13 Flauski <span class signature-talk >talk</span> PD-chem Cc-zero Organic name reactions
Terms of Use   Search of the Day