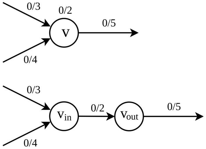
MAKE A MEME View Large Image Node splitting.svg Node splitting used in max flow with vertex capacities Self-created using Dia 10/07/2009 Chin Ho Lee Tcshasaposse Original upload log en wikipedia Milicevic01 CommonsHelper en wikipedia Node_splitting svg 2009-07-10 02 42 ...
View Original:Node splitting.svg (18x13)
Download: Original    Medium    Small Thumb
Courtesy of:commons.wikimedia.org More Like This
Keywords: Node splitting.svg Node splitting used in max flow with vertex capacities Self-created using Dia 10/07/2009 Chin Ho Lee Tcshasaposse Original upload log en wikipedia Milicevic01 CommonsHelper en wikipedia Node_splitting svg 2009-07-10 02 42 Tcshasaposse 638×461× 6631 bytes <nowiki></nowiki> 2009-07-10 02 39 Tcshasaposse 709×602× 7195 bytes <nowiki></nowiki> 2009-07-10 02 28 Tcshasaposse 638×461× 6631 bytes <nowiki>rotated by pi</nowiki> 2009-07-10 02 15 Tcshasaposse 390×673× 6327 bytes <nowiki> Node splitting used in max flow with vertex capacities Self-created using Dia 10/07/2009 Chin Ho Lee </nowiki> Flow networks
Terms of Use   Search of the Day