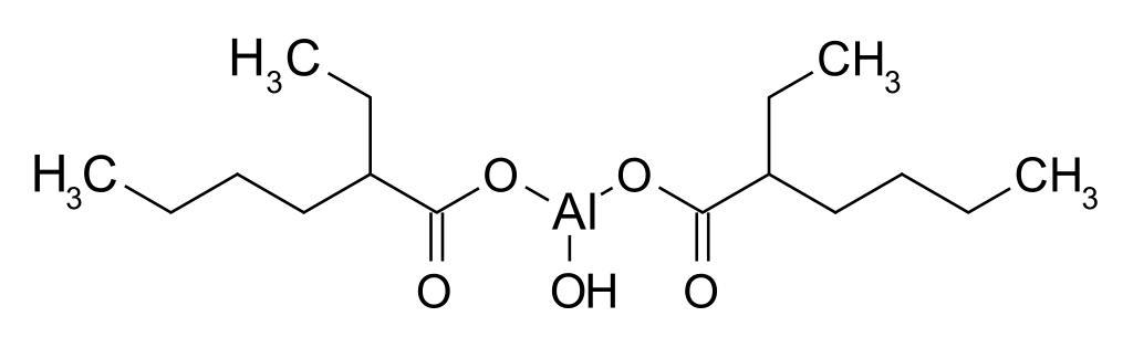
MAKE A MEME View Large Image M4 Thickener.svg Strukturformel von M4 Thickener für Napalm selbst erstellt mit BKchem 11 04 2008 Artur <sup>Disk</sup><sub>+/-</sub> ljfa-ag de original upload log page de wikipedia M4 svg 2008-04-11 14 19 Ljfa-ag 366×113× 38596 bytes ...
View Original:M4 Thickener.svg (293x90)
Download: Original    Medium    Small Thumb
Courtesy of:commons.wikimedia.org More Like This
Keywords: M4 Thickener.svg Strukturformel von M4 Thickener für Napalm selbst erstellt mit BKchem 11 04 2008 Artur <sup>Disk</sup><sub>+/-</sub> ljfa-ag de original upload log page de wikipedia M4 svg 2008-04-11 14 19 Ljfa-ag 366×113× 38596 bytes <nowiki> M4 Thickener </nowiki> Aluminium compounds Carboxylates
Terms of Use   Search of the Day