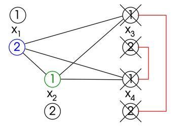
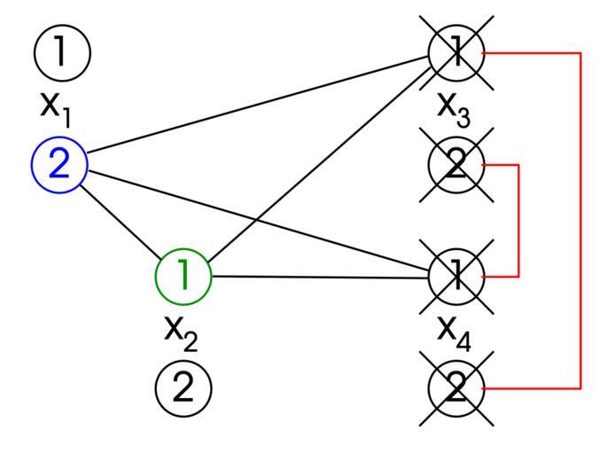
MAKE A MEME View Large Image Forward-arc-2.svg An example showing that forward checking is different than arc-concistency look ahead This is what full and in this case also partial look ahead does variables are considered in pairs so that x3 and x4 cannot be possibly ...
View Original:Forward-arc-2.svg (1x1)
Download: Original    Medium    Small Thumb
Courtesy of:commons.wikimedia.org More Like This
Keywords: Forward-arc-2.svg An example showing that forward checking is different than arc-concistency look ahead This is what full and in this case also partial look ahead does variables are considered in pairs so that x3 and x4 cannot be possibly be both assigned a consistent value because of the constraint between them Constraint satisfaction 2006-02-06 own assumed Tizio
Terms of Use   Search of the Day