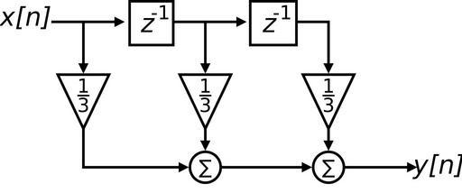
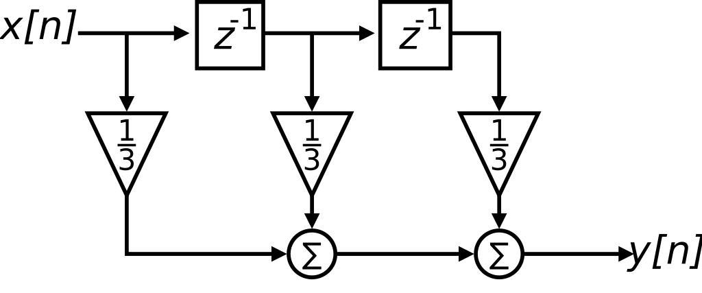
MAKE A MEME View Large Image Filter (Moving Average).svg FIR filter implementing a moving average with the following transfer function <math>hn \frac 1 3 \deltan+\frac 1 3 \deltan-1+\frac 1 3 \deltan-2</math> Own Inductiveload 2009-03-10 validSVG HandSVG FIR filters
View Original:FIR Filter (Moving Average).svg (360x150)
Download: Original    Medium    Small Thumb
Courtesy of:commons.wikimedia.org More Like This
Keywords: FIR Filter (Moving Average).svg FIR filter implementing a moving average with the following transfer function <math>hn \frac 1 3 \deltan+\frac 1 3 \deltan-1+\frac 1 3 \deltan-2</math> Own Inductiveload 2009-03-10 validSVG HandSVG FIR filters
Terms of Use   Search of the Day