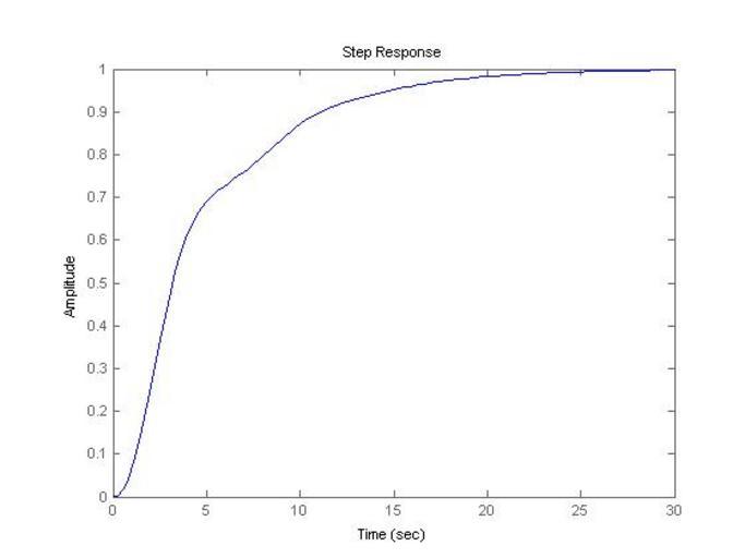
MAKE A MEME View Large Image Fig3a.jpg es Respuesta a un escalón salto de un sistema de 3er orden con ganancia DC 0 5 dos polos complejos en -1/2 +-j raíz 3 /2 y polo en -5 No tiene ceros finitos en un lazo cerrado de realimentación unitaria y control PI con cero en ...
View Original:Fig3a.jpg (560x420)
Download: Original    Medium    Small Thumb
Courtesy of:commons.wikimedia.org More Like This
Keywords: Fig3a.jpg es Respuesta a un escalón salto de un sistema de 3er orden con ganancia DC 0 5 dos polos complejos en -1/2 +-j raíz 3 /2 y polo en -5 No tiene ceros finitos en un lazo cerrado de realimentación unitaria y control PI con cero en -1 y polo en el origen own Wcolmen 03/02/2009 Control theory
Terms of Use   Search of the Day