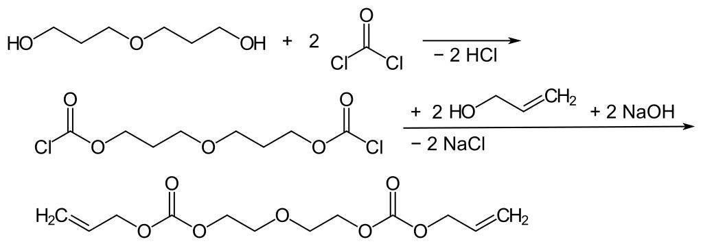
MAKE A MEME View Large Image Diallyldiglycolcarbonat-Synth.svg de Synthese des Monomers für die Herstellung von Polyallyldiglycolcarbonat own Roland chem 2014-11-01 Polycarbonate Organocarbonates Cc-zero
View Original:Diallyldiglycolcarbonat-Synth.svg (881x309)
Download: Original    Medium    Small Thumb
Courtesy of:commons.wikimedia.org More Like This
Keywords: Diallyldiglycolcarbonat-Synth.svg de Synthese des Monomers für die Herstellung von Polyallyldiglycolcarbonat own Roland chem 2014-11-01 Polycarbonate Organocarbonates Cc-zero
Terms of Use   Search of the Day