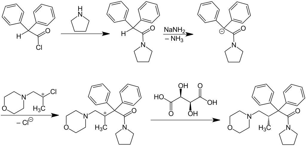
MAKE A MEME View Large Image Dextromoramid Synthesis V.1.svg en Dextromoramid_Synthesis de Dextromoramid-Synthese -Racematspaltung own Jü 2011-09-26 Cc-zero Chemical syntheses
View Original:Dextromoramid Synthesis V.1.svg (951x455)
Download: Original    Medium    Small Thumb
Courtesy of:commons.wikimedia.org More Like This
Keywords: Dextromoramid Synthesis V.1.svg en Dextromoramid_Synthesis de Dextromoramid-Synthese -Racematspaltung own Jü 2011-09-26 Cc-zero Chemical syntheses
Terms of Use   Search of the Day