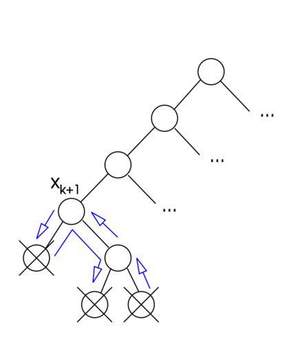
MAKE A MEME View Large Image Dead-ends-1.svg Backtracking has analyzed all nodes below x_ k+1 and come back The three crossed nodes is where it has found an inconsistency In the next image Image Dead-ends-2 svg the reasons for inconsistency will be clearly marked ...
View Original:Dead-ends-1.svg (2x2)
Download: Original    Medium    Small Thumb
Courtesy of:commons.wikimedia.org More Like This
Keywords: Dead-ends-1.svg Backtracking has analyzed all nodes below x_ k+1 and come back The three crossed nodes is where it has found an inconsistency In the next image Image Dead-ends-2 svg the reasons for inconsistency will be clearly marked Constraint satisfaction 2006-02-08 own assumed Tizio Backtracking
Terms of Use   Search of the Day