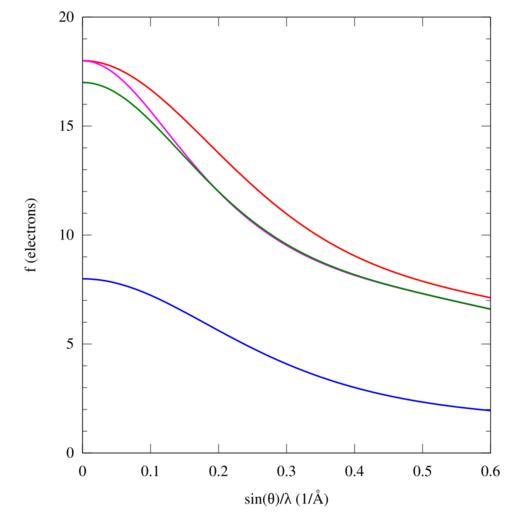
MAKE A MEME View Large Image ...Mann structure factors.svg en Atomic form factors of oxygen blue chlorine green Cl- magenta and K+ red calculated with the Cromer-Mann parameters gnuplot commands <br> plot 7 9578 exp -12 6331 x 2 + 7 4915 exp -0 7674 x 2 + 6 359 exp -0 002 ...
View Original:Cromer-Mann structure factors.svg (1000x1000)
Download: Original    Medium    Small Thumb
Courtesy of:commons.wikimedia.org More Like This
Keywords: Cromer-Mann structure factors.svg en Atomic form factors of oxygen blue chlorine green Cl- magenta and K+ red calculated with the Cromer-Mann parameters gnuplot commands <br> plot 7 9578 exp -12 6331 x 2 + 7 4915 exp -0 7674 x 2 + 6 359 exp -0 002 x 2 + 1 1915 exp -31 9128 x 2 - 4 9978 <br> replot 18 2915 exp -0 0066 x 2 + 7 2084 exp -1 1717 x 2 + 6 5337 exp -19 5424 x 2 + 2 3386 exp -60 4486 x 2 - 16 378 <br> replot 3 041 exp -13 277 x 2 + 2 287 exp -5 701 x 2 + 1 546 exp -0 324 x 2 + 0 867 exp -32 909 x 2 + 0 251 <br> replot 11 460 exp -0 010 x 2 + 7 196 exp -1 166 x 2 + 6 256 exp -18 519 x 2 + 1 646 exp -47 778 x 2 - 9 557 own Pieter Kuiper 2010-05-03 X-ray diffraction Gnuplot diagrams
Terms of Use   Search of the Day