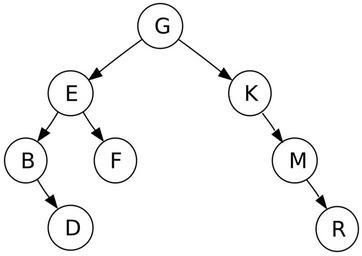
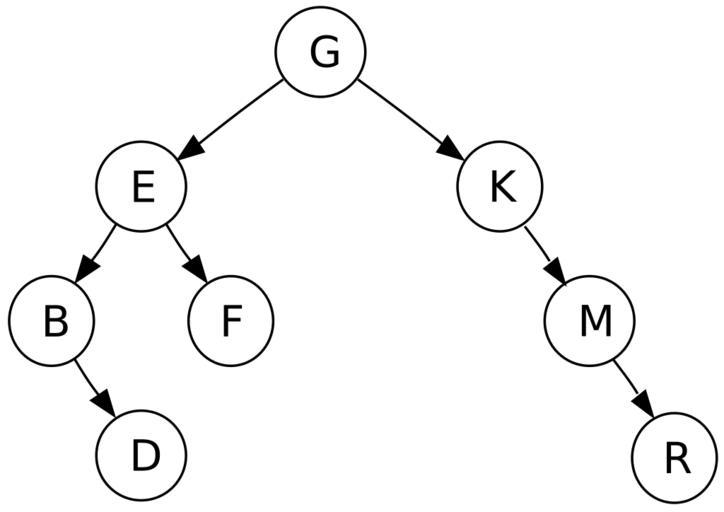
MAKE A MEME View Large Image CPT BinaryTree LettersEx1.svg en Binary tree showing sorted letters input in the following order G K E F M B R D made using Inkscape own Pluke 2011-04-30 Cc-zero Binary trees
View Original:CPT BinaryTree LettersEx1.svg (364x257)
Download: Original    Medium    Small Thumb
Courtesy of:commons.wikimedia.org More Like This
Keywords: CPT BinaryTree LettersEx1.svg en Binary tree showing sorted letters input in the following order G K E F M B R D made using Inkscape own Pluke 2011-04-30 Cc-zero Binary trees
Terms of Use   Search of the Day