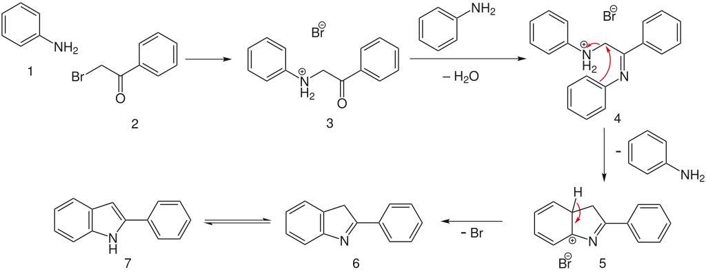
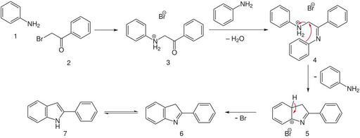
MAKE A MEME View Large Image Bischler-Möhlau-Reaktionsmechanismus-V1.svg en Bischler-Möhlau-Indolsynthesis de Bischler-Möhlau-Indolsynthese own Faynara 2010-06-17 Bischler-Moehlau indol synthesis
View Original:Bischler-Möhlau-Reaktionsmechanismus-V1.svg (1290x496)
Download: Original    Medium    Small Thumb
Courtesy of:commons.wikimedia.org More Like This
Keywords: Bischler-Möhlau-Reaktionsmechanismus-V1.svg en Bischler-Möhlau-Indolsynthesis de Bischler-Möhlau-Indolsynthese own Faynara 2010-06-17 Bischler-Moehlau indol synthesis
Terms of Use   Search of the Day