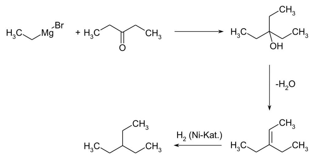
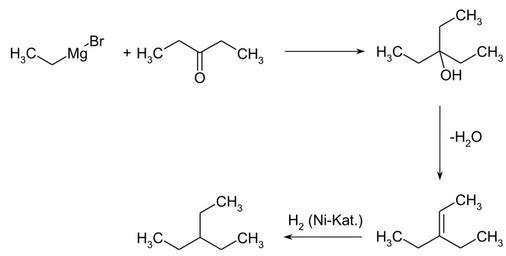
MAKE A MEME View Large Image 3-Ethylpentane synthesis 01.svg 10 1021/ja01380a027 10 1021/ja01380a027 own Steffen 962 2012-08-07 PD-chem Branched heptanes Cc-zero
View Original:3-Ethylpentane synthesis 01.svg (1031x521)
Download: Original    Medium    Small Thumb
Courtesy of:commons.wikimedia.org More Like This
Keywords: 3-Ethylpentane synthesis 01.svg 10 1021/ja01380a027 10 1021/ja01380a027 own Steffen 962 2012-08-07 PD-chem Branched heptanes Cc-zero
Terms of Use   Search of the Day